比例:在数学中,比例是一个总体中各个部分的数量占总体数量的比重,用于反映总体的构成或者结构。两种相关联的量,一种量变化,另一种量也随着变化。要想判断两个比式子能不能组成比例,要看它们的比例是不是相等。
比例性质:
比例的基本性质:组成比例的四个数,叫做比例的项。两端的两项叫做比例的外项,中间的两项叫做比例的内项。
在比例里,两个外项的积等于两个内项的积。

是代数学中常用的比例性质,主要包括合比性质、分比性质、合分比性质、等比性质以及它们的推广。
这四条性质多用于分式的计算和证明,以及三角函数、相似三角形、平行线分线段成比例定理的应用中。其中尤其以等比性质的应用最为广泛。
比例性质释义:1.合比性质:
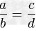
在一个比例等式中,第一个比例的前后项之和与第一个比例的后项的比,等于第二个比例的前后项之和与第二个比例的后项的比。
例:已知a,b,c,d∈C,且有b≠0,d≠0,如果

,则有

。
证明:



2.分比性质:
在一个比例等式中,第一个比例的前后项之差与第一个比例的后项的比,等于第二个比例的前后项之差与第二个比例的后项的比。
例:已知a,b,c,d∈C,且有b≠0,d≠0,如果

,则有

。
证明:



3.合分比性质:
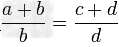
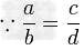
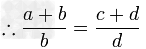
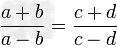
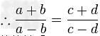
在一个比例等式中,第一个比例的前后项之和与第一个比例的前后项之差的比,等于第二个比例的前后项之和与第二个比例的前后项之差的比。
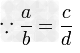
例:已知a,b,c,d∈C,且有b≠0,d≠0,如果

,则有

。
证明:

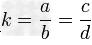
令

,则

,



4.等比性质:
在一个比例等式中,两前项之和与两后项之和的比例与原比例相等。
例:已知a,b,c,d∈C,且有b≠0,d≠0,如果

,则有

。
证明:

令

,则


重要定理:

比例尺:
是表示图上距离比实地距离缩小的程度,因此也叫缩尺。
用公式表示为:比例尺=图上距离/实地距离。
1.数字式,用数字的比例式或分数式表示比例尺的大小。
例如地图上1厘米代表实地距离500千米,可写成:1∶50,000,000或写成:1/50,000,000。
2.线段式,在地图上画一条线段,并注明地图上1厘米所代表的实际距离。
3.文字式,在地图上用文字直接写出地图上1厘米代表实地距离多少千米,
如:图上1厘米相当于地面距离500千米,或五千万分之一。
比例线段:1.两条线段的长度比叫做这两条线段的比。
2.在同一单位下,四条线段长度为a、b、c、d,其关系为a∶b=c∶d,那么,这四条线段叫做成比例线段,简称比例线段。
3.一般的,如果三个数a,b,c满足比例式a∶b=b∶c,则b就叫做a,c的比例中项。
比例的美术术语:比例通常指物体之间形的大小、宽窄、高低的关系;另外比例也会在构图中用到,例如你在画一幅素描静物就要注意所有静物占用画面的大小关系。
在画素描的过程中要想把形画准就要注意比例了。
把握比例的几个技巧:
1.横着比:当你要画某一个物体的位置时就以此做一条贯穿整个画面的横线,看到所有在这条线上的物体。
2.竖着比:做一条贯穿画面的垂线,注意观察所有在这条线上的物体。
3.多看物体、少看画面:为的是形成观察的意识,抛弃大脑中的原始概念。看物体5秒,看画面2秒,眼睛要在画面和物体之间反复的观察比较。
4.总的说就是放长线、看整体、多比较。把这些想象成经线纬线一样会比较简单;初学者要多画辅助线,等功底深厚了你会发现你画面中的辅助线会越来越少,而你心里假象的辅助线会越来越多。
在构图中要注意的比例关系技巧:一般被画物占画面百分之八十左右,看上去饱满。
人物相关比例:
1.三庭五眼:发际线-鼻底-下巴为三庭,这三段之间每段的距离大约相等;耳根-外眼角-内眼角-内眼角-外眼角-耳根为五眼,它们之间距离大约相等。
2.站七坐五蹲三半:一个站着的成年人身高大约等于他七个头长(站七),当他座上时就等于五个头长(坐五),蹲着时刚好是三个半头长(三头)。
3.小孩的头部比例较大,站着时一般为三到四个头高。
4.张开双臂,两个中指之间的长度大约等于这个人的身高。
5.手臂的长度为两个头长(腋窝-胳膊肘-手腕各位为一个头长)。
6.手掌为三分之二头长。
7.当举起胳膊时胳膊肘刚好到头顶。
8.肩宽为两个头宽。
9.脚掌为一个头长。
10.男人肩比胯宽,而女人跨比肩宽。
还有很多,可以在生活中多总结,多观察。这些都是标准人体比例,可以帮助初学者入门;
也是艺术家创作英雄楷模人物绘画雕塑等艺术作品时的指导,例如米开朗基罗的大卫是七个半头高。在现实生活中有形形色色的人,在进行人物素描时就应当个别观察,抓住特征。
版权声明:本文内容由互联网用户自发贡献,该文观点仅代表作者本人。本站仅提供信息存储空间服务,不拥有所有权,不承担相关法律责任。如发现本站有涉嫌抄袭侵权/违法违规的内容,请发送邮件至 lxy@jiyifa.cn 举报,一经查实,本站将立刻删除。