高中数学知识点:椭圆的标准方程及图象

逍遥学能  2017-08-30 17:19

椭圆的标准方程:


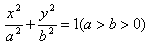
(1)中心在原点,焦点在x轴上:
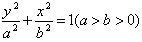
(2)中心在原点,焦点在y轴上:
椭圆的图像:


(1)焦点在x轴:

(2)焦点在y轴:



巧记椭圆标准方程的形式:


①椭圆标准方程的形式:左边是两个分式的平方和,右边是1;
②椭圆的标准方程中,x2与y2的分母哪一个大,则焦点在哪一个轴上;
③椭圆的标准方程中,三个参数a,b,c满足a2= b2+ c2
④由椭圆的标准方程可以求出三个参数a,b,c的值.


待定系数法求椭圆的标准方程:


求椭圆的标准方程常用待定系数法,要恰当地选择方程的形式,如果不能确定焦点的位置,那么有两种方法来解决问题:一是分类讨论,全面考虑问题;二是可把椭圆的方程设为n)用待定系数法求出m,n的值,从而求出标准方程,



版权声明:本文内容由互联网用户自发贡献,该文观点仅代表作者本人。本站仅提供信息存储空间服务,不拥有所有权,不承担相关法律责任。如发现本站有涉嫌抄袭侵权/违法违规的内容,请发送邮件至 lxy@jiyifa.cn 举报,一经查实,本站将立刻删除。
上一篇:数学不好其实最关键的原因就是懒
下一篇:掌握好这8点,数学至少考到135分!

逍遥学能在线培训课程推荐

【高中数学知识点:椭圆的标准方程及图象】相关文章
【高中数学知识点:椭圆的标准方程及图象】推荐文章