高中数学
高中数学知识点:无理不等式
逍遥学能 2017-08-08 12:00
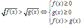
无理不等式主要形式及其解法:
1、
2、
3、
解无理不等式的关键:
去根号,把无理不等式转化成有理不等式。
版权声明:本文内容由互联网用户自发贡献,该文观点仅代表作者本人。本站仅提供信息存储空间服务,不拥有所有权,不承担相关法律责任。如发现本站有涉嫌抄袭侵权/违法违规的内容,请发送邮件至 lxy@jiyifa.cn 举报,一经查实,本站将立刻删除。
上一篇:
数学概念教学的几点分析与思考
下一篇:
数学课上学生的差异性如何把握
逍遥学能在线培训课程推荐
快速记忆课程
快速阅读课程
速读训练软件
数字编码卡片
右脑训练卡片
全脑学习加盟
【高中数学知识点:无理不等式】相关文章
高中数学教学中学生思维能力的培
高中数学平面解析几何怎样学习才
浅议高中数学教学学生创新精神的
高考文科数学必背公式有哪些
高二数学必修一知识点:不等式的
【高中数学知识点:无理不等式】推荐文章
让生活步入数学课堂 让数学走进
如何打造个性化高中数学课堂教学
2.1.3 两条直线的平行与垂直
农村中学数学教学有效性的思考
2014高考数学考场十大答题技巧
微信公众号
右脑论坛