高中数学知识点:线段的定比分点

逍遥学能  2017-07-11 15:34

线段的定比分点定义:


设点P是直线P1P2上异于P1、P2的任意一点,若存在一个实数λ,使P1P=λPP2,λ叫做点P分有向线段所成的比,P点叫做有向线段 的以定比为λ的定比分点。
当P点在线段 P1P2上时,λ>0;当P点在线段 P1P2的延长线上时,λ<-1;当P点在线段P2P1的延长线上时 -1<λ<0。
若点P分有向线段所成的比为λ,则点P分有向线段所成的比为


有向线段的定比分点的坐标公式:


(1)设
在使用定比分点的坐标公式时,应明确(x,y),(x1,y1),(x2,y2)的意义,即分别为分点,起点,终点的坐标。一般在计算中应根据题设,自行确定起点,分点和终点并根据这些点确定对应的定比λ。
(2)当λ=1时,就得到P1P2的中点公式:
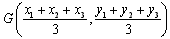
(3)三角形ABC的重心公式:设,则重心



版权声明:本文内容由互联网用户自发贡献,该文观点仅代表作者本人。本站仅提供信息存储空间服务,不拥有所有权,不承担相关法律责任。如发现本站有涉嫌抄袭侵权/违法违规的内容,请发送邮件至 lxy@jiyifa.cn 举报,一经查实,本站将立刻删除。
上一篇:浅析多媒体在教学中的利弊
下一篇:高中数学笔记误区分析解析

逍遥学能在线培训课程推荐

【高中数学知识点:线段的定比分点】相关文章
【高中数学知识点:线段的定比分点】推荐文章