高中数学知识点:对数函数的解析式及定义(定义域、值域)

逍遥学能  2016-05-02 17:24

对数函数的定义:


一般地,我们把函数y=logax(a>0,且a≠1)叫做对数函数,其中x是自变量,函数的定义域是(0,+∞),值域是R。


对数函数的解析式:


y=logax(a>0,且a≠1)



在解有关对数函数的解析式时注意


在涉及到对数函数时,一定要注意定义域,即满足真数大于零;求值域时,还要考虑底数的取值范围。




相关高中数学知识点:对数与对数运算

对数的定义:
如果ax=N(a>0,且a≠1),那么数x叫做以a为底N的对数,记做,其中a叫做对数的底数,N叫做真数。
通常以10为底的对数叫做常用对数,记做
以无理数e=2.71828…为底的对数叫做自然对数,记做
由定义知负数和0没有对数。


常用对数
以10为底的对数叫做常用对数,


自然对数:
以e为底的对数叫做自然对数,e是无理数,e≈-2. 718 28,



对数的运算性质:


如果a>0,且a≠1,M>0,N>0,那么
(1)
(2)
(3)
(4)


对数的恒等式


(1);(2)
(3);(4)
(5)


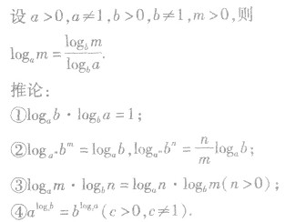
对数的换底公式及其推论:






对数式的化简与求值


(1)化同底是对数式变形的首选方向,其中经常用到换底公式及其推论.
(2)结合对数定义,适时进行对数式与指数式的互化.
(3)利用对数运算法则,在积、商、幂的对数与对数的和、差、倍之间进行转化,



版权声明:本文内容由互联网用户自发贡献,该文观点仅代表作者本人。本站仅提供信息存储空间服务,不拥有所有权,不承担相关法律责任。如发现本站有涉嫌抄袭侵权/违法违规的内容,请发送邮件至 lxy@jiyifa.cn 举报,一经查实,本站将立刻删除。
上一篇:高中数学知识点:向量数量积的运算
下一篇:玩转数学之一次函数与“三个一次”的美丽邂逅

逍遥学能在线培训课程推荐

【高中数学知识点:对数函数的解析式及定义(定义域、值域)】相关文章
【高中数学知识点:对数函数的解析式及定义(定义域、值域)】推荐文章