逍遥学能 2016-04-08 08:42
质谱仪:
具有相同核电荷数而不同质量数的原子互称同位素,质谱仪是分离各种元素的同位素并测量它们质量的仪器,它由静电加速器、速度选择器、偏转磁场、显示屏等组成,它的结构原理如图所示。 
如图所示,离子源S产生质量为m,电荷量为q的正离子(所受重力不计)。离子出来时速度很小(可忽略不计),经过电压为U的电场加速后进入磁感应强度为B的匀强磁场中做匀速圆周运动,经过半个周期到达记录它的照相底片P上,测得它在P上的位置到入口处的距离为L,则
![]()
联立求解得
。
因此,只要知道q、B、L与U,就可计算出带电粒子的质量m。
速度选择器:
(1)平行板中电场强度E和磁感应强度B互相垂直,这种装置能把具有一定速度的粒子选择出来,所以叫做速度选择器,如图所示。
(2)带电粒子能够沿直线匀速通过速度选择器的条件是
,即
,与带电粒子的质量,所带电荷的正负、电荷量均无关,只与速度有关。
(3)若
,粒子向电场力方向偏,电场力做正功,粒子动能增加;
,粒子向磁场力方向偏,电场力做负功,动能减少。
回旋加速器:
(1)构造:
回旋加速器的核心部件是两个D 形扁金属盒,整个装置放在真空容器中,如图所示。 
①两个D形盒之间留有一个窄缝,在中心位置放有粒子源。
②两个D形盒分别接在高频交变电源的两极上,在两盒间的窄缝中形成一个方向呈周期性变化的交变电场。
(2)原理:
利用电场对带电粒子的加速作用和磁场对运动电荷的偏转作用来获得高能粒子,如图所示。 
①磁场的作用:带电粒子以某一速度垂直于磁场方向进入匀强磁场时,只在洛伦兹力作用下做匀速圆周运动,其中周期与速度和半径无关,使带电粒子每次进入D形盒中都能运动相等时间(半个周期)后,平行于电场方向进入电场中加速。
②交流电压:为了保证每次带电粒子经过狭缝时均被加速,使能量不断提高,要在狭缝处加一个周期与
相同的交流电压。
(3)特点
①带电粒子在D形盒中的回转周期等于两盒狭缝间高频电场的变化周期,与带电粒子速度无关(磁场保证带电粒子做回旋运动,如图所示)。
②带电粒子在D形金属盒内运动的轨道半径不等距分布。设带正电粒子的质量为m,电荷量为q,狭缝间加速电压大小为U,粒子源产生的带电粒子,经电场加速第一次进入左半盒时速度和半径分别为
。
第二次进入左半盒时,经电场加速3次,进人左半盒的速度和半径为
第k次进入左半盒时,经电场加速(2k一1)次,进入左半盒时速度和半径为
所以,任意相邻两轨道半径之比
可见带电粒子在D形金属盒内运动时,越靠近D 形金属盒的边缘,相邻两轨道的间距越小。
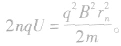
③带电粒子在回旋加速器内运动的最终能量。由于D形金属盒的大小一定,所以不管粒子的大小及带电荷量如何,粒子最终从加速器内射出时应具有相同的旋转半径。
由牛顿第二定律得
动量大小与动能之间存在定量关系
由①②两式得
可见,带电粒子离开回旋加速器的动能与加速电压无关,而仅受磁感应强度B和D形盒半径的限制。加速电压的大小只能影响带电粒子在D形盒内加速的次数。
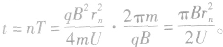
④带电粒子在回旋加速器内的运动时间。带电粒子在回旋加速器内运动时间的长短,与带电粒子做匀速圆周运动的周期有关,同时还与带电粒子在磁场中转动的圈数有关。设带电粒子在磁场中转动的圈数为n,加速电压为U。因每加速一次粒子获得的能量为qU,每圈有两次加速。结合
知
因此:
所以带电粒子在回旋加速器内运动时间
⑤由于随着带电粒子速度的增大,当速度接近光速时,据爱因斯坦狭义相对论可知,粒子质量增大,回转周期变大,而与交变电压周期不一致,使加速器无法正常工作,所以回旋加速器不能无限地对带电粒子加速。