高中数学知识点:用数量积表示两个向量的夹角

逍遥学能  2016-02-24 10:10

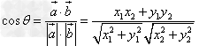
用数量积表示两个向量的夹角:


都是非零向量,,θ是的夹角,根据向量数量积的定义及坐标表示可得



向量数量积问题中方法提炼:


(1)平面向量的数量积的运算有两种形式,一是依据定义来计算,二是利用坐标来计算,具体应用哪种形式应根据已知条件的特征来选择;
(2)平面向量数量积的计算类似于多项式的运算,解题中要注意多项式运算方法的运用;
(3)平面向量数量积的计算中要注意平面向量基本定理的应用,选择合适的基底,以简化运算
(4)向量的数量积是一个数而不是一个向量。



版权声明:本文内容由互联网用户自发贡献,该文观点仅代表作者本人。本站仅提供信息存储空间服务,不拥有所有权,不承担相关法律责任。如发现本站有涉嫌抄袭侵权/违法违规的内容,请发送邮件至 lxy@jiyifa.cn 举报,一经查实,本站将立刻删除。
上一篇:如何消除学生学习数学的恐惧心理
下一篇:数学课堂中要注重学生的全面发展

逍遥学能在线培训课程推荐

【高中数学知识点:用数量积表示两个向量的夹角】相关文章
【高中数学知识点:用数量积表示两个向量的夹角】推荐文章