初中数学知识点:多项式
逍遥学能 2016-02-11 08:36
多项式:
几个单项式的和叫做多项式。多项式中,每个单项式叫做多项式的项,不含字母的项叫做常数项,这些单项式中的最高次数,就是这个多项式的次数。多项式和单项式统称为整式。
多项式性质:1、多项式的次数:多项式中次数最高的项的次数;
2、多项式的排列:把一个多项式按某一个字母的指数从大到小的顺序排列起来叫做把这个多项式按这个字母的降幂排列;
3、把一个多项式按某一个字母的指数从小到大的顺序排列起来叫做把这个多项式按这个字母的升幂排列。
4、多项式项数:若多项式以最少的单项式之和呈现,则每一个单项式都被称为此多项式的项,而项的数目称为项数。
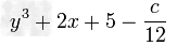
例如:多项式

的项数是四,故称为四项式。当中的

都是此多项式的项。
5、多项式的“元”:多项式中的变量种类称为元,各种变量以各字母表达(注:通常是x、y、z),一个多项式有n种变量就称为n元多项式。
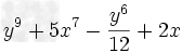
例如:

中有x、y二元,是二元多项式。因有四项,可称二元四项式。
多项式的运算:
1.加法与乘法:
多项式的加法:是指多项式中同类项的系数相加,字母保持不变(即合并同类项)。多项式的乘法,是指把一个多项式中的每个单项式与另一个多项式中的每个单项式相乘之后合并同类项。
例如:
也可以用矩阵乘法来进行:

2.多项式除法:
多项式的除法与整数的除法类似。
(1)把被除式、除式按某个字母作降幂排列,并把所缺的项用零补齐.
(2)用被除式的第一项去除除式的第一项,得商式的第一项.
(3)用商式的第一项去乘除式,把积写在被除式下面(同类项对齐),消去相等项,把不相等的项结合起来.
(4)把减得的差当作新的被除式,再按照上面的方法继续演算,直到余式为零或余式的次数低于除式的次数时为止.
被除式=除式×商式+余式
如果一个多项式除以另一个多项式,余式为零,就说这个多项式能被另一个多项式整除

版权声明:本文内容由互联网用户自发贡献,该文观点仅代表作者本人。本站仅提供信息存储空间服务,不拥有所有权,不承担相关法律责任。如发现本站有涉嫌抄袭侵权/违法违规的内容,请发送邮件至 lxy@jiyifa.cn 举报,一经查实,本站将立刻删除。