2bcsinA

逍遥学能  2016-01-10 11:08

三角形面积公式:


(1)

其中r为三角形ABC内切圆半径,R为外接圆的半径,
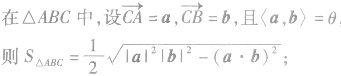
(2)数量积形式的三角形面积公式:



(3)坐标形式的三角形面积公式:





方法提炼:


(1)三角形的面积经常与正余弦定理结合在一起考查,解题时要注意方程思想的运用,即通过正余弦定理建立起方程(组),进而求得边或角;
(2)要熟记常用的面积公式及其变形.



版权声明:本文内容由互联网用户自发贡献,该文观点仅代表作者本人。本站仅提供信息存储空间服务,不拥有所有权,不承担相关法律责任。如发现本站有涉嫌抄袭侵权/违法违规的内容,请发送邮件至 lxy@jiyifa.cn 举报,一经查实,本站将立刻删除。
上一篇:高中数学知识点:曲线的参数方程
下一篇:高中数学知识点:直线与抛物线的应用

逍遥学能在线培训课程推荐

【2bcsinA】相关文章
【2bcsinA】推荐文章